污水中腐殖質來源與演變
編者按:碳中和背景下剩余污泥厭氧消化產甲烷似乎已被再度被喚起。然而,污泥厭氧消化有機物能源轉化效率較低是限制其發揚光大的障礙,這是因為污泥細胞結構、木質纖維素以及腐殖質等成分存在其中。污泥細胞破壁、木質纖維素結構破穩藉預處理手段可以獲得程度上的緩解,但腐殖質較木質纖維素結構更加穩定,即使采取預處理手段也難以奈何。這意味著,研究腐殖質來源、結構特征及其在污泥厭氧消化過程的演變對提高厭氧消化效率有著基礎推動作用。本期推送我們于2017年發表在《環境工程學報》上的文章,介紹腐殖質在污水處理過程中遷移轉化規律以及其在厭氧消化過程中演變規律,從而總結出腐殖質影響厭氧消化效率的主要原因,為制定消除其影響的技術策略提供理論依據,最終期望有助污泥厭氧消化能源轉化效率提高。
一、 污水中腐殖質來源
1、生活廢料中的動植物殘體及其產品,包括蔬菜殘渣、廁紙、紙屑和雜草樹葉等;
2、雨水沖刷土壤也會將土壤腐殖質帶入污水;
3、環境因素可能引起污水管網內壁污泥腐殖質釋放;
4、工業廢水因原料加工而會產生腐殖質;
5、飲用水源源頭本身就含有腐殖質;
6、地下水入滲排水管網也會帶入腐殖質;污水輸送環節微生物活動亦可能產生腐殖質。
二、腐殖質在污水處理中的演變過程
研究表明,腐殖質在污水中大部分以膠體微粒(1-100nm)存在,部分以懸浮顆粒存在,少量亦有以真溶液形式存在; 它們是污水中溶解性有機物(DOM,可通過0.45μm濾膜)組成成分之一,占DOM比例3%-55%。在污水處理過程中,沉砂池與初沉池對無機顆粒與大顆粒懸浮物去除時也能因共沉淀作用而去除少量腐殖質,但是,一般不會引起腐殖質結構變化;二級生物處理過程中微生物很難降解腐殖質,腐殖質大多因活性污泥吸附作用而轉移到污泥表面,此時腐殖質結構可能存在一定變化。
含量變化
①由糖類與蛋白質或氨基化合物隨機縮合形成,即美拉德反應;電子自旋共振光譜顯示,這種反應也可能在污水處理過程中出現。
②微生物胞外聚合物(EPS)中腐殖質的形成與其組分中其它物質(如蛋白質、糖類化合物等)變化有關。這至少表明,污水生物處理過程存在由蛋白質與糖類化合物反應形成腐殖質的途徑。
③腐殖質組分胡敏酸與富里酸之間存在相互轉化關系。
結構特征

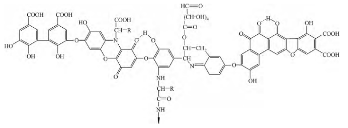
圖1 腐殖質結構模型
污泥腐殖質結構組成異質性高: 側鏈上含有較多油脂類、多糖和多肽化合物,且脂肪酸是污泥腐殖質結構組成的基礎,它可以依靠酚酯鍵和吸附力(氫鍵、范德華力)成為污泥腐殖質的一部分。也有研究顯示,脂類化合物占污泥腐殖質中脂肪族化合物含量高達 50%。由于腐殖質可以分為不易被微生物降解的穩定組分(如芳香族化合物)和易被微生物降解的不穩定組分(如脂肪族化合物),所以,污泥腐殖質結構組成與特征可被改變的程度較大。污泥腐殖質高度支鏈化的脂肪族化合物占有比例較大,腐殖化程度較低,其結構組成與特征在厭氧消化過程中被改造的可能性與空間較大。
三、污泥腐殖質含量與結構特征
含量變化
腐殖質提取與提純方法會影響污泥中腐殖質含量測定,表1總結了幾種代表性方法檢測腐殖質含量(胡敏酸與富里酸含量之和)的數據結果。
表 1 剩余污泥中腐殖質含量

注: 1) 指國際腐殖質協會推出的提取土壤腐殖物質參考方法。
結構變化
在腐殖質結構組成與特征分析上,元素含量與原子個數比通常便可得出一般性結論: C 元素含量越高,則腐殖化程度越高;C /N比越大,則腐殖化程度與穩定程度越高;H/C 比越大,則縮合度與芳香度越低,而脂肪族化合物成分較多;O/C比越大,則碳水化合物成分或含氧官能團含量越高。依據腐殖質這一化學特征,說明污泥腐殖質腐殖化程度相對較低,所含脂肪族化合物較多,而芳香族化合物含量較少。表2顯示污泥腐殖質羧基與酚羥基相對較低的含量也能輔助說明污泥腐殖質腐殖化程度確實較低。
表 2 不同來源腐殖質化學特征

四、腐殖質在厭氧消化過程的變化
含量變化
厭氧消化過程腐殖質非但難生物降解,而且還可能會有其前體物(如,木質素)或細胞生成少量腐殖質。研究發現,腐殖質是厭氧細菌胞外聚合物(EPS)的重要成分之一,這其中一些腐殖質是微生物新陳代謝的產物;厭氧消化液中氨基酸和小分子有機酸在適宜條件下還可以形成腐殖質。
也有研究表明,腐殖質組分中胡敏酸與富里酸之間存在相互轉化關系。這也意味著,厭氧消化過程胡敏酸與富里酸之間的比值可能會發生變化;這一比值可以作為判斷腐殖質腐殖化程度的指標之一:其值越大,表明腐殖化程度越高;同時,根據這一比值變化也可以探索腐殖質形成途徑,并判別胡敏酸與富里酸之間的轉化關系。
結構變化
有研究對比分析了污水處理廠初沉池、活性污泥內循環室、厭氧消化池以及污泥干化床等 5 處污泥腐殖質化學與光譜特征; 結果顯示,厭氧消化過程比較明顯地加深了腐殖質腐殖化程度,其芳香度與氧化程度雙雙增加。也有研究顯示,對比初沉池,消化池污泥中胡敏酸組成元素中芳香碳原子、羰基碳原子分別增加 7. 0% 和 1. 5% ,脂肪族化合物碳原子減少 7. 5% ,芳香度提高 8. 2%。還有采用電子自旋共振(ESR)、紅外光譜(IR)與碳13核磁共振(13C NMR)分析技術的研究顯示,腐殖質在污泥厭氧消化與污泥干化床處理過程都發生了腐殖化現象,但強度弱于污泥堆肥過程。這些研究表明,污泥腐殖質經厭氧消化其芳香度及腐殖化程度均有提高,但仍小于土壤和肥料腐殖質的腐殖化程度。
五、研究腐殖質厭氧演變的意義
1、腐殖質在厭氧消化過程的變化過程中,其結構中芳香環骨架以及多種含氧官能團并不會消失,顯示出它有持續影響厭氧消化過程的結構基礎。
2、腐殖質穩定程度與氧化程度增加,這意味著它通過物理與化學作用結合重金屬的機會和強度會明顯提高,將導致重金屬生物有效性被降低。在降低重金屬對微生物的毒性作用的同時,也有可能造成微生物微量元素不足,進而影響厭氧消化。
3、從消化污泥中腐殖質含量與結構特征可判斷消化污泥穩定程度與腐熟度,可為污泥最終處置提供基礎;對污泥土地利用可起到一定的積極調控作用。
六、結論與展望
1、腐殖質分子結構主要以芳香環作為骨架,芳香環上含有大量多種含氧官能團,可對它所處介質中物理化學反應以及物質遷移、降解轉化行為發揮重要調控作用。
2、在污水處理過程中,沉砂池與初沉池對無機顆粒與大顆粒懸浮物去除的同時,也能因共沉淀作用而去除少量腐殖質,但不會引起其結構的變化。
3、二級生物處理過程中腐殖質大多(80%)因活性污泥吸附作用而轉移到污泥表面,使腐殖質結構在一定程度上發生一定的變化。
4、腐殖質在厭氧消化系統中較難降解,其結構中羧基與酚羥基的存在會降低其它有機物水解效率,進而抑制CH4生成,通過原為鈍化腐殖質的含氧官能團方可消除對厭氧消化的影響。
5、未來對污泥厭氧消化過程中腐殖質演變規律與羧基酚羥基的含量變化探究,可為制定解抑制技術策略提供基礎。
6、腐殖質本質作為一種重要有機質,有必要探索經濟可行的方法,高效實現污泥厭氧消化能源化與資源化處理處置。
聲明:本文轉自公眾號:水業碳中和資訊,作者:周鵬、郝曉地等。本文版權歸原作者所有,不代表本網站觀點,僅供學習交流之用,不做商業用途。如文中的內容、圖片、音頻、視頻等存在第三方的在先知識產權,請及時聯系我們刪除。

登錄
