北京工業大學程水源教授STOTEN:高耗能行業VOCs排放不容忽視
圖文摘要 | Graphical abstract

導讀 | Introduction
PM2.5與O3復合污染是當前中國大氣環境面臨的主要問題。作為二者的共同前體物,揮發性有機化合物(VOCs)的科學減排是有效降低PM2.5與O3濃度的主要途徑之一。工業源對VOCs的排放貢獻不能忽視,能源密集型產業推動了中國的社會經濟發展,但也是空氣污染的重要貢獻者。無論從國家政策層面或研究層面,火電、鋼鐵、焦化、水泥等高耗能行業VOCs的排放需要引起進一步的重視。本研究基于系統測試獲取了典型行業VOCs組分排放特征,并開展了差異及其成因分析;進一步對各行業VOCs反應活性與空間分布開展深入討論。
一、VOCs排放特征
Emission characteristics of VOCs
本研究中水泥窯-1(原料包含城市污泥與生活垃圾)、焦爐、燒結、球團、煉鋼、焦爐爐頂、火電和水泥窯-2的VOCs濃度分別為7.08、4.35、2.43、2.41、0.54、0.51、0.36和0.14 mg/m3。上述行業的VOCs排放均來自于煅燒過程,而不同行業之間、同一行業內不同工藝之間的各類VOCs貢獻率存在明顯差異(圖1)。分析結果顯示,原材料、煅燒溫度、煙氣出口溫度和末端治理設施是影響VOCs組分排放特征的主要成因。

圖1 各類源VOC類別的質量百分比
Fig. 1 Mass percentages (%) of different volatile organic compound (VOC) groups from different emission sources.
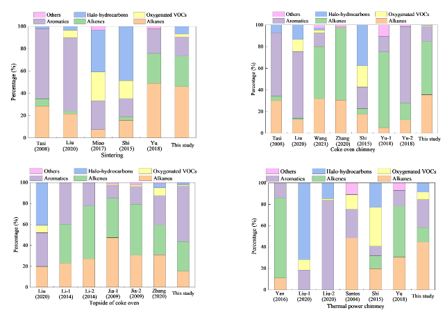
二、相關研究的回顧與對比
Review and comparison of relevant studies
基于對文獻的回顧,我們收集了22組相關的VOCs組分數據集,并發現不同研究結果之間存在明顯的差異性(圖2)。造成該差異的原因可能來自以下幾個方面:首先,不同研究之間分析的VOCs物種數量不同;其次,超低排放技術對VOCs的協同去除作用不容忽視。此外,對于固定燃燒源,煤炭原料的類型和機組運行功率也是影響VOCs組分的重要因素。

圖2 本研究不同VOCs類別的質量百分比與其他研究對比
Fig. 2 Comparison of the mass percentages (%) of different volatile organic substance (VOC) groups in this study with those from other studies
三、VOC反應活性分析
VOC reactivity analysis
各類源臭氧生成潛勢(OFP)排名為:焦爐>球團>水泥窯1>燒結>煉鋼>焦爐爐頂>火電>水泥窯-2;SOA生成潛勢(SOAP)排名為:水泥窯-1>焦爐>燒結>球團>焦爐爐頂>煉鋼>火電>水泥窯-2(圖3)。值得注意的是,焦爐煙囪VOCs排放濃度比水泥窯-1低40%,而OFP高達水泥窯-1的1.8倍;焦爐爐頂VOCs排放濃度低于煉鋼,而二者SOAP大小卻相反。因此,為有效控制工業源VOCs排放,需綜合考慮VOCs的排放濃度和反應活性。同時研究結果表明,烯烴和OVOCs是OFPs的主要貢獻者,而芳香烴是SOAPs的主要貢獻組分。

圖3 各類源不同VOCs類別對OFP與SOAP的貢獻
Fig. 3 Contributions of different volatile organic compound (VOC) groups to the ozone formation potential (OFP) and secondary organic aerosol potential (SOAP) of various emission sources
四、VOC排放量分布
Distribution of VOC emissions
2018年中國焦化、鋼鐵(燒結、球團與煉鋼)、火電、水泥行業的VOCs排放量分別為1162.1、289.9、311.0、470.2Gg。如圖4所示,山西、河北、內蒙古和安徽分別是焦化、鋼鐵、火電和水泥行業排放最突出的省份,這主要受到煤炭資源、工藝技術條件、工業基礎設施和區域發展建設需求等因素的影響。結合相關研究結果,發現上述行業的VOCs排放量占全國工業源VOCs總排放量的9.8%-24.7%。因此,高耗能行業的VOCs減排應當引起重視。

圖4 2018年中國四大高耗能行業VOCs排放量省級分布
Fig. 4 Provincial distribution of VOC emissions from four high-energy-consuming industries in China in 2018
總結 | Conclusions
不同行業VOCs排放濃度與組分差異顯著,原料、煅燒溫度、末端治理設施和煙氣出口溫度是導致VOC排放特征差異的主要原因。VOCs種類的數量以及超低排放措施的應用是VOCs排放特征發生變化的重要影響因素。烯烴和芳香烴濃度較高的源會對環境產生更加不利的影響,應該成為VOCs管控的重點。上述行業的VOCs排放突出,占全國工業源VOC總排放量的9.8%-24.7%。本研究獲取的典型高耗能行業的VOCs源譜特征和排放數據能夠為中國區域大氣復合污染防治工作提供有效的基礎支撐。
聲明:本文轉自環境人Environmentor,作者王瑞鵬、程水源等,本文版權歸原作者所有,不代表本網站觀點,僅供學習交流之用,不做商業用途。如文中的內容、圖片、音頻、視頻等存在第三方的在先知識產權,請及時聯系我們刪除。

登錄
