溫室氣體 | N?O對水業帶來了嚴重挑戰
導言:氧化亞氮(N?O)引起水業廣泛關注,已成為該行業面臨的重大且多方面的挑戰。水業并齊心協力減輕其有害影響。
N?O與全球變暖
作為一種強效溫室氣體,N?O對全球變暖和氣候變化有重大影響,凸顯了解決其在水處理過程和污水管理中存在的緊迫性。由于N?O對環境可持續發展和公共健康具有巨大影響,了解N?O復雜性和影響已成為水業的首要任務。
問題的核心在于N?O作為生物營養物去除(BNR)過程中氮循環副產品的影響。BNR通常用于污水處理設施,對有效去除污水中含氮化合物、防止水體富營養化和污染至關重要。
然而,這個過程會導致N2O釋放,這就大大增加了水處理運行的碳足跡。N?O持續排放到大氣中不僅加劇了溫室效應,而且加劇了污水處理廠對氣候的影響。




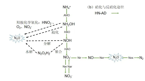
圖中:Nxr:硝酸鹽氧化還原酶;Nar:硝酸鹽還原酶;Nir:亞硝酸鹽還原酶;Nor:NO還原酶;Nos:N?O還原酶;AMO:氨單加氧酶;HAO:羥胺氧化還原酶;cyt P460:HAO的c型血紅素;NcyA:未知酶
圖1 污水處理脫氮過程N?O產生途徑
圖片來源:郝曉地等:污水處理過程N?O排放:過程機制與控制策略
N?O的測量與控制
N?O的復雜化學性質對其測量和控制提出了挑戰,需要先進的分析技術和精確的監測系統。N?O排放量化需要對細節一絲不茍,通常需要復雜的儀器和方法,而這些儀器和方法并非能夠輕易獲得。因此,缺乏全面的N?O評估數據和標準化方案會使監管和N?O減排工作變得更加復雜。
Xylem創新實驗室加速器項目負責人Oliver Puckering博士在接受水技術在線(Aquatech Online)采訪時表示:“對N?O排放進行有效監測是污水處理廠在編制碳整體清單和有效減排目標時必須關注的重點,2019年政府間氣候變化專門委員會(IPCC)指南引入了N?O排放估算的分層方法。然而,這些指南常常低估了實際排放量,導致緩解規劃的精確度受到限制。
“N?O排放量絕非恒定;它們表現出較強的變化性和動態季節性模式,受處理廠溫度、氮負荷和曝氣量等因素的影響”。
N?O減排技術
N?O在大氣中的富集加劇了對環境的長期影響,因此,需采取更為可持續和有效的戰略來盡量減少其影響。水業迫切需要采用創新技術和運營實踐,以有效減少N?O排放,同時確保最佳處理性能和法規遵從性。平衡環境管理和運營效率的目標是一項艱巨的挑戰,需要采取涵蓋技術創新、監管框架和全行業協作的全面綜合方法。
Anglian Water碳中和負責人David Riley在接受Aquatech Online采訪時表示:“過去10年來,我親眼目睹了通過效率提升、團隊合作和可再生能源利用在減少能源碳排方面取得的巨大進展,但N?O的減少還遠遠不夠”。
“這兩個主要原因是:對不同水廠和工藝排放量的科學理解和信心;減少N?O排放所節省的資金與支持創新和技術解決方案所需的投資之間的商業權衡”。
Puckering博士補充道:“目前已有能夠直接測量液相、氣相或兩相N?O的傳感器。雖然這些傳感器能在指定范圍內提供可靠的測量結果,但在多個水廠大規模使用仍是一個挑戰。盡管如此,這些傳感器還是有利于開展年度監測活動,測量處理廠內特定位置(如,好氧池)的N?O”。
“經驗模型和風險模型結合了溶解氧、亞硝酸鹽、硝酸鹽和計算流體動力學等參數,提供了對N?O排放的全面了解。這些模型因其易于實施和可擴展性而頗具吸引力,但也需要進一步驗證、核查其準確性。盡管如此,世界各地公用事業部門正越來越多地在示范項目中采用這些模型,從而加快了驗證過程”。
N?O相關研發工作
為了應對N?O的挑戰,研發工作已經加強,重點是探索新的處理方法和工藝改造,以減少N?O排放。
Riley補充說:“隨著對測量和監測的投資,以及目前解決和減少N?O排放的緊迫性,情況正在發生變化”。
創新方法,如,優化曝氣策略、實施先進的工藝控制和利用量身定制的微生物群落,在最大限度地減少N?O產生的同時保持強大的處理功效方面顯示出了巨大潛力。
例如,丹麥、澳大利亞和英國的污水處理廠在“凈零伙伴關系”(Net Zero Partnership)旗幟下聯合起來,共同應對N?O問題。這項合作由奧胡斯萬德公司(Aarhus Vand)、墨爾本水務公司(Melbourne Water)和塞文特倫特公司(Severn Trent)發起,旨在每年共同減少一百萬t碳排放,凸顯了國際合作在應對氣候挑戰方面的極端重要性。
在過去的一年里,這三個合作組織密切監測了氣體和液體階段N?O排放情況,對排放模式和有效減排策略提出了重要見解。考慮到N?O對全球變暖的重大影響,他們的研究結果引發了關于迫切需要全面規范N?O排放的重要討論。
實時監測 N?O
綜合研究揭示了生物污水處理過程中N?O排放的復雜動態。研究人員強調了硝化-反硝化過程在產生N?O方面的重要性,并著重指出了各種運行條件和微生物組成對季節性排放變化的影響。
報告強調有必要采用標準化方法來準確計算排放系數,并倡導開發通用的監測和研發技術,從而在全球范圍內采用統一方法來應對N?O排放。
Puckering博士說:“無論是通過直接測量還是建模,對N?O排放進行實時監測對于制定明智減排戰略至關重要。采用機器學習的決策支持系統利用N?O監測數據優化運行條件,包括氧氣控制和活性污泥回流。這樣就能在滿足處理要求的同時,最大限度地減少N?O產生,從而降低硝化和反硝化過程中排放N?O的風險”。
“不過,重要的是要明白,雖然緩解方案可以減少N?O排放,但它們可能無法完全消除生物處理過程中固有的N?O產生”。
“因此,水業公司應考慮逐步轉向替代處理方法,如,物理、化學和基于藻類的方法,以取代100多年前所開發的傳統活性污泥法。這些替代方法不僅能防止產生N?O,還能從污水中回收資源,例如,在回收營養物質和捕捉碳的同時優化沼氣生產”。
平衡N?O影響
在Royal HaskoningDHV最近發布的一份白皮書中,根據水務公司在2030年前實現“凈零排放”目標所面臨的挑戰,探討了污水處理廠(WWTP)N?O排放的影響。
該研究強調了控制N?O排放的重要性,突出了高氨負荷與處理過程中N?O水平升高之間的密切聯系。通過實施“先進過程控制”(一種利用人工智能領域知識的綜合方法),可以設計出最大限度減少N?O排放的有效策略。
為了幫助滿足多種技術需求,Xylem已責成其創新實驗室團隊確定當前和新興的技術格局,確定最有前途的方案,并幫助加快向市場廣泛部署。
該團隊與內部和外部全球N?O工作組密切合作,后者包括咨詢公司和公用事業公司。合作倡議和知識共享平臺在促進對N?O挑戰的集體理解、促進最佳實踐交流以及促進水業內前沿研究傳播方面發揮了關鍵作用。
隨著水行業繼續應對復雜的N?O管理問題,優先考慮可持續發展、創新和合作仍是當務之急。利用業內集體專業知識和技術進步,制定全面、有針對性的戰略應對N?O帶來的多方面挑戰,確保持續保護環境完整性和促進可持續水資源管理實踐至關重要。
通過采用全面和前瞻性方法,水業可以為更具塑性和環保意識的未來鋪平道路,有效減輕N?O的影響,促進水處理與全球環境福祉之間的可持續平衡。
聲明:本文轉自水業碳中和資訊,作者朱昊睿、郝曉地等,本文版權歸原作者所有,不代表本網站觀點,僅供學習交流之用,不做商業用途。如文中的內容、圖片、音頻、視頻等存在第三方的在先知識產權,請及時聯系我們刪除。

登錄
