老舊污水處理設備出現問題,該修還是該換?所有門道和建議都在這里了
近些年來,隨著污水處理新工藝、新技術的出現,以及污水廠出水指標的提高,老舊設備的技術性能往往達不到標準要求,面臨著設備更新的問題(廣義的設備更新包括大修、更新以及現代化改裝)。
然而對于污水處理廠來說,如(ru)(ru)果過早地進行設備(bei)報廢更新,片面(mian)追求現(xian)代化,必然會(hui)造(zao)成資源的(de)浪費(fei);但如(ru)(ru)果拖延設備(bei)的(de)更新或者設備(bei)更新決策有誤(wu),又會(hui)面(mian)臨(lin)生產成本(ben)增加(jia)的(de)問題。
因此,搞清楚一臺具體的設備,該不該更新?在什么時候更新?選什么樣的設備來更新?是污水處理廠實現降本增效的關鍵所在。
一(yi)、污水處理中,設備都會受(shou)到(dao)哪些磨損(sun)?
設備(bei)是(shi)污水(shui)處理的(de)物質基礎,然而就(jiu)是(shi)這么一寶貝,無論你再怎么“呵護”,都會出現不同(tong)程度的(de)老舊破(po)損。
一般來說,設備在使用過程中既會受到有形磨損,也會受到無形磨損,我們平常說的什么“壞了”、“有問題了”、“舊了”都是這兩種磨損共同作用的結果。
1、設備的有形磨損
設備的有形磨損(sun)又分為兩種形式。
第一種有形磨損(sun)是指設備(bei)在生產(chan)使用(yong)過程(cheng)中,外力作用(yong)下實體(ti)產(chan)生的(de)磨損(sun)、變形和(he)損(sun)壞,這種磨損(sun)程(cheng)度(du)與使用(yong)強度(du)和(he)使用(yong)時間有關。
第二種有形(xing)磨損(sun)是(shi)指設備(bei)在閑置過程中(zhong)受自然力(li)的作用而產生的實體(ti)磨損(sun),這種磨損(sun)與閑置時間和所處環境有關。
2、設備的無(wu)形磨(mo)損(sun)
設備的(de)無形(xing)磨損是由于(yu)社會經濟環境變化造成的(de)設備價值貶值,它(ta)是技(ji)術進(jin)步的(de)必(bi)然結果(guo)。
同樣的,無(wu)形(xing)磨損(sun)也分為(wei)兩(liang)種形(xing)式。
第一種無形磨(mo)損(sun)是指(zhi)設備的技術結(jie)構(gou)和性能(neng)沒(mei)有(you)發生變化,但(dan)由于技術進步,制造工藝改(gai)進,以(yi)及社會勞(lao)動生產率水(shui)平的不斷提高,同類(lei)設備的再生產價值(zhi)降低,致使設備相對(dui)貶值(zhi)。
第二種(zhong)無形磨損是(shi)指(zhi)由于科技進(jin)步,不斷出(chu)現結構更(geng)(geng)先進(jin)、性能更(geng)(geng)完善、效率更(geng)(geng)高、能耗更(geng)(geng)少的新型設備,使原有(you)設備相對(dui)陳舊落后,致使其經濟(ji)效益相對(dui)降(jiang)低而產生貶值(zhi)。
了解設備的磨損類型,就像醫生給(gei)病(bing)人看病(bing)一樣(yang),望聞問切(qie),只有更(geng)深(shen)入地了解問題情況,才能對癥下藥。
二(er)、設(she)備出現磨損后,該(gai)修還(huan)是該(gai)換?
當(dang)設(she)備(bei)發生磨(mo)損后,必然要進行補償,以恢復設(she)備(bei)的生產能力。
但由于設備磨損的形式不同,所以補償磨損的形式自然也是不同的。這里為了方便大家理清兩者之間的聯系,小編制作了設備磨損形式與其補償方式的關系圖,具體如下:

設備磨損形式與(yu)其補償方式的(de)相關關系
值得一提的是,雖然關系圖中把修理、現代化改裝、更新列為不同形式的設備磨損補充,但從廣義上來講,設備大修、現代化改裝以及更新均屬于設備更新。
當然,有廣義的設備更新,自然也有狹義的設備更新,狹義的設備更新可分為原型更新和新型更新兩種形式。
原(yuan)型(xing)更(geng)新是(shi)指用(yong)相同結(jie)構(gou)、性能、效率的(de)同型(xing)號設備(bei)來(lai)替代(dai)原(yuan)有設備(bei)。其主要(yao)針(zhen)對設備(bei)不可消(xiao)除的(de)有形磨損,用(yong)來(lai)更(geng)換已損壞或陳舊落(luo)后的(de)設備(bei)。
而新型更(geng)(geng)新則是指以結構更(geng)(geng)先進、技術更(geng)(geng)完善、性能更(geng)(geng)好、生(sheng)產效率更(geng)(geng)高的新設備去替代原有(you)舊(jiu)設備。其主要用(yong)來(lai)更(geng)(geng)換遭(zao)到無(wu)形磨損,不(bu)能繼續(xu)使用(yong)及經(jing)濟上不(bu)宜(yi)使用(yong)的設備。
三、什(shen)么時候(hou)進行設備更新,“性價比”最高?
在進行設備(bei)更(geng)新決策時,首先應判斷(duan)設備(bei)是否需要更(geng)新,然后(hou)再確定設備(bei)更(geng)新的最(zui)佳時機。
設(she)(she)備(bei)更(geng)新(xin)(xin)時(shi)機的選擇應考慮(lv)設(she)(she)備(bei)運行(xing)的經濟(ji)效益,到底什(shen)(shen)么(me)時(shi)候進行(xing)設(she)(she)備(bei)更(geng)新(xin)(xin),應以什(shen)(shen)么(me)時(shi)候更(geng)新(xin)(xin)設(she)(she)備(bei)在(zai)經濟(ji)上最有利(li)為(wei)依據。
當然,在實際工作(zuo)中,設備(bei)更新時(shi)機(ji)決策(ce)的(de)選擇應視(shi)具體條件而(er)定。
現(xian)階段,設備更新時機決策(ce)理論主要包括以(yi)下五種方法,即更新收益率(lv)法、費用比較法、特定服(fu)務年限費用比較法、LCC法、經濟壽命法等。
1、更新收益法(fa)
污水處理設備(bei)更(geng)新的主要目的是(shi)提高(gao)出水質(zhi)量、降低運營(ying)成本,因(yin)此在決定是(shi)否更(geng)新設備(bei)時,應綜合考慮新舊設備(bei)的成本、效益。
采用舊(jiu)設備時(shi),維護和運行成本比較高,出(chu)水質量低(di),但不需要投資;
采(cai)用新設備時,維護和(he)運行成(cheng)本低,出(chu)水質量也有所改善(shan)提高,但需要做(zuo)出(chu)相應的投資。
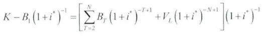
更新收益率法是通過計算更新與不更新兩種方案的差額投資的收益率來判別是否應更換設備。如果計算得出更新收益率大于等于給定基準折現率,應立即進行設備更新最為經濟,否則不用更新。
新(xin)設(she)備凈投資(zi)可由(you)下式得:

式子中:
BT——更(geng)新(xin)后第T年由新(xin)設備帶來的凈(jing)收益(yi)
N——新設備的使(shi)用年限
VL——N年末(mo)新設(she)備殘值
i*——設備更新投資的內(nei)部(bu)收(shou)益率
假設:

則(ze)式子(zi)可改寫為:

式子中(zhong):
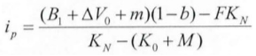
B1——設(she)備更(geng)新后第一年對投資K的回收
V——第一(yi)年末更新投資(zi)未收回部分
K——更新與否(fou)的投資差額

式子中:
KN——為購置新(xin)設備(bei)投資
K0——舊設(she)備的可變(bian)賣(mai)價(jia)值
M——當(dang)年繼續使(shi)用舊設備所(suo)需投加的(de)投資(zi)

式子(zi)中:
K1——新設(she)備第一年末(mo)的(de)價值
M——追加投資M在第一年的(de)分攤
?V0——舊(jiu)設備用一年的價值損耗
綜合上述四個公(gong)式(shi)(shi)可(ke)得到更(geng)新收益率(lv)的計算公(gong)式(shi)(shi)為:

若ip≥i0(i0為(wei)給(gei)定基準折現率),則(ze)立即進行設備更(geng)新(xin)最為(wei)經(jing)濟。
2、費用比較法
費用比較法是從原有舊設備現狀出發,分別計算舊設備繼續使用一年的總費用和新設備在其預計的經濟壽命期內的年均費用,然后進行比較,根據年費用最小原則決定是否更換該設備。
1)計算舊設備繼(ji)續(xu)使(shi)用(yong)一年的(de)總(zong)費用(yong)
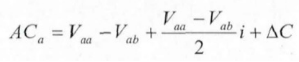
舊設備繼續使用一年的(de)總費用由下式得:

式子中:
ACa——舊設備下一年的(de)年運行總費(fei)用
Vaa——舊設(she)備在(zai)決策時的(de)可變現(xian)價值
Vab——舊設(she)備(bei)一年后可變現(xian)價值
?C——舊設備在(zai)使用(yong)一年期間運(yun)行(xing)費用(yong)損失
i——期望最小收益(yi)率
2)計算新設(she)備年費用
新(xin)設備的年均總費用由下式得:

式(shi)子中:
ACN——新設備在(zai)其(qi)預計的經濟壽命期內的年均費用;
[λ(N-1)]/2——設備的(de)使用(yong)N年(nian)間劣化值得平均數;
(KN-VL)/N——N年內每(mei)年的設備(bei)價值損耗;
[(KN-VL)i]/2——使用(yong)新設(she)備而占(zhan)用(yong)的資(zi)金時(shi)間價值損失(shi)
3)新舊年費用(yong)的比較
若ACa>ACN,舊設備(bei)應(ying)立即更新。
若ACa=ACN,雖然(ran)從理(li)論上講,現在馬上更新(xin)和等(deng)到(dao)舊設備(bei)經濟(ji)壽命到(dao)期時(shi)更新(xin)是一樣的,但考(kao)慮到(dao)技術(shu)的不斷進步,故而推(tui)遲更新(xin)較有利。
若ACa<ACN,應繼續(xu)使用舊設(she)備(bei),直到其經濟壽命到期。
3、特定(ding)服務年限(xian)費(fei)用比較(jiao)法
當(dang)設(she)備(bei)(bei)的(de)(de)服務(wu)年(nian)(nian)限(xian)(xian)不僅大于(yu)固(gu)有設(she)備(bei)(bei)的(de)(de)可服務(wu)年(nian)(nian)限(xian)(xian),還小于(yu)合(he)理的(de)(de)固(gu)有設(she)備(bei)(bei)服務(wu)年(nian)(nian)限(xian)(xian)與置換設(she)備(bei)(bei)經(jing)濟壽命之和時,應當(dang)考(kao)慮采(cai)用(yong)特定服務(wu)年(nian)(nian)限(xian)(xian)費用(yong)比較法來確定設(she)備(bei)(bei)的(de)(de)更新時機(ji)。
特定(ding)服務年限費用(yong)比較法(fa)又可(ke)分為(wei)靜態(tai)計(ji)算(suan)和動態(tai)計(ji)算(suan),計(ji)算(suan)求得總費用(yong)最少的年份即是舊(jiu)設備最佳更新時(shi)間。
靜態計算:

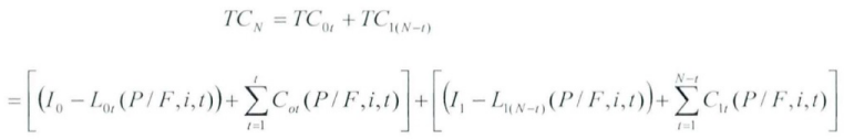
動態(tai)計算:

式子中:
TCN——N年內的設備總費用
TC0t——t年內舊設備的總費用
TCI(N-t)——N-t年內新(xin)設備的總費用
C——新、舊設備的年使用(yong)費
I——新、舊設備的投資
L——新(xin)、舊設備的殘(can)值
寫在最后
設備的數量、質量和技(ji)術(shu)水平,在一定(ding)程度(du)上決(jue)定(ding)著一家(jia)企業的市(shi)場競爭能力(li)、技(ji)術(shu)創新能力(li)以(yi)及(ji)各(ge)項技(ji)術(shu)經濟指標(biao)的高低。
但設(she)備(bei)在使用或閑置過程中,又不可(ke)避免地發生有(you)形(xing)磨(mo)損(sun)和無(wu)形(xing)磨(mo)損(sun),從而(er)導致設(she)備(bei)的使用功能和經濟性(xing)低劣化,甚至出(chu)現(xian)功能消失而(er)報(bao)廢的現(xian)象(xiang)。
因此,任何設備在某一階段都存在著繼續使用還是更新的問題。為了滿足生產對設備使用的技術、經濟性要求,我們必須通過確定恰當的更新時機、以最經濟合理的更新方式來對設備的磨損進行及時補償。
聲明:本文(wen)轉自環(huan)保水圈,作(zuo)者(zhe)COD君,本文(wen)版權歸(gui)原作(zuo)者(zhe)所有(you),不代表本網站觀點,僅供學習交(jiao)流之(zhi)用(yong),不做商(shang)業用(yong)途(tu)。如文(wen)中的(de)內容、圖片(pian)、音頻(pin)、視頻(pin)等存在(zai)(zai)第三方的(de)在(zai)(zai)先知識產權,請及時聯系我們(men)刪除。

登錄
